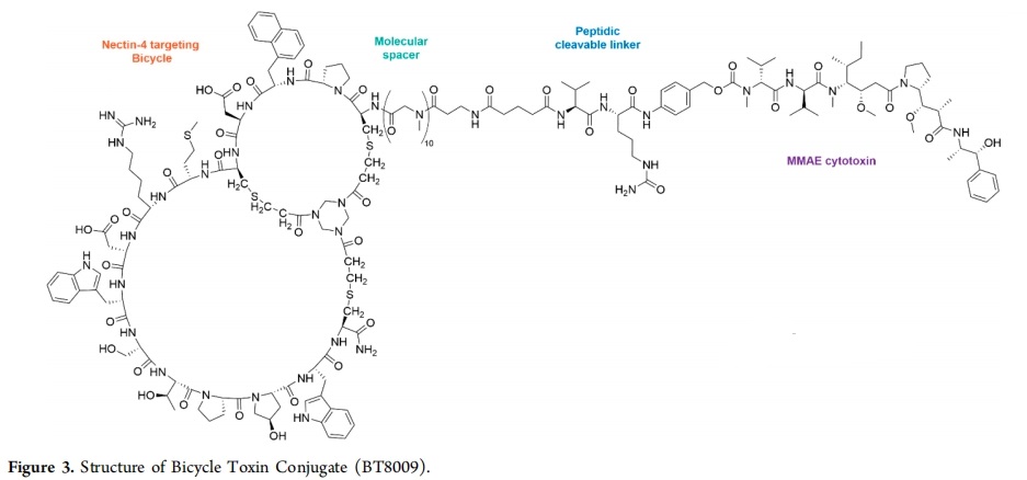
双环肽毒素偶联物(BTC)是一类极具潜力的新型分子,可用于将毒素有效载荷靶向递送至肿瘤。本文介绍了BT8009的发现,BT8009是一种靶向BTC的Nectin-4分子,目前正在进行临床评估。Nectin-4在多种肿瘤类型中过表达,是经临床验证的选择性递送细胞毒性有效载荷的靶点。
通过噬菌体展示技术鉴定出一种靶向Nectin-4的双环肽,该肽对Nectin-4表现出高度选择性结合,但血浆稳定性低且理化性质较差。通过引入非天然氨基酸进行多参数化学优化,获得了一种具有高亲和力、在生物基质中稳定性良好且理化性质显著改善的自行车毒素偶联物。优化后的自行车毒素偶联物通过可裂解的连接体与细胞毒素单甲基奥瑞他汀E偶联,得到靶向药物偶联物BT8009,该偶联物在啮齿动物体内模型中表现出强效抗癌活性。


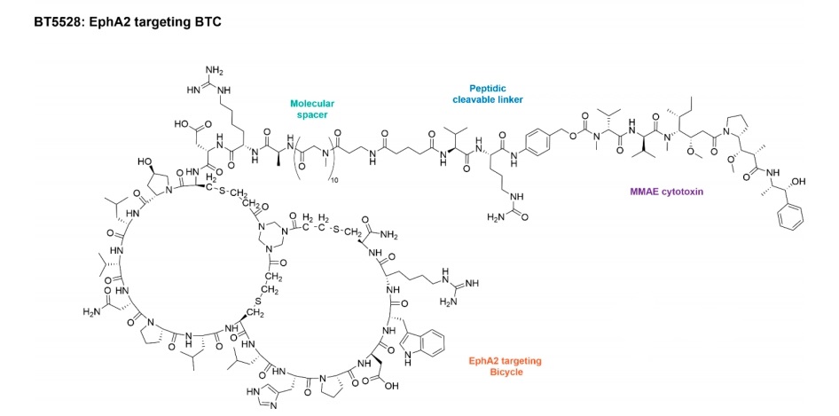
之前报道的两款BTC,即BT1718和BT5528(图1),分别针对MT1-MMP和EphA2,在临床前研究中表现出强大的抗癌活性(1,3)目前正在临床接受评估,BT1718的初步临床药代动力学(PK)结果表明,肿瘤中的有效载荷浓度与临床前啮齿动物模型中观察到的浓度相似。(2)我们现在试图利用BTC来对抗其他癌症靶点,包括Nectin-4。
Nectin-4是Nectin和Nectin样家族中的一种细胞粘附分子。它是经临床验证的肿瘤靶点,据报道在多种实体肿瘤中高表达,包括膀胱癌、食道癌、胰腺癌和肺癌,但在健康组织中的分布有限。一种针对Nectin-4的抗体药物偶联物(PADCEV,enfortumabvedotin)最近在一系列临床研究中产生了积极的数据后被批准用于治疗膀胱癌。
本文描述了通过噬菌体展示技术发现的Nectin-4结合双链蛋白(Bicycle),并对其进行了化学优化,并将其整合到目前正在进行临床评估的BTC药物BT8009中。BT8009的药理特性的详细报告已于近期发表。BT8009在多种肿瘤模型(包括患者来源的异种移植瘤)中展现出强效疗效,涵盖多种肿瘤适应症,且在临床前安全性研究中耐受性良好。在多个模型中,BT8009表现出优于或等同于ADCPADCEV类似物的疗效。
我们描述了首个低分子量、全合成构建体的例子,该构建体可选择性靶向Nectin-4,而Nectin-4此前仅通过大型生物制剂进行靶向。通过噬菌体展示筛选Nectin-4双环肽,获得了三个对目标蛋白具有优异亲和力的命中序列。经过初步评估,最终选定一个序列作为先导序列,该序列被证明对Nectin-4的选择性高于目标家族的其他成员。经过几轮迭代化学优化,获得了一个对Nectin-4具有低纳摩尔亲和力的双环肽,该肽在体外基质测定中表现出良好的稳定性,并具有优异的理化特性。据其他文献报道,在针对5528种人类血浆膜蛋白的选择性筛选中,优化后的双环肽仅与Nectin-4相互作用,表明其对该靶标具有高度特异性。值得注意的是,噬菌体筛选活动期间产生的大量数据在优化过程中发挥了关键作用,通过识别重要的替代物,尤其对优化物理化学性质至关重要。
经过全面优化的双环肽被整合到毒素偶联物BT8009中,该复合物保留了母体双环肽的亲和力,并在CDX小鼠模型中表现出强大的抗肿瘤活性,并且在有效剂量下耐受性良好。BT8009于2018年被选为候选药物,目前正在进行临床评估。
参考文献:doi.org/10.1021/acs.jmedchem.2c00065