白细胞介素(IL)-23通路是银屑病、银屑病关节炎和炎症性肠病的致病驱动因素。目前,尚无口服药物能选择性地针对这一通路。JNJ-77242113是一种肽类物质,能以高亲和力(KD:7.1皮摩尔)与IL-23受体结合。在人体细胞中,JNJ-77242113能够强有力且选择性地抑制近端IL-23信号传导(IC50:5.6皮摩尔),且不会影响IL-12信号传导。JNJ-77242113还能抑制健康供体和银屑病患者血液中自然杀伤细胞的IL-23诱导的干扰素(IFN)γ生成(IC50分别为18.4、11和9皮摩尔)。在由三硝基苯磺酸诱导的结肠炎大鼠模型中,口服JNJ-77242113,剂量≥0.3毫克/千克/天,可减轻疾病参数。该药物的药理活性还超越了胃肠道。在口服JNJ-77242113的大鼠血液中,观察到体外IL-23刺激的IL-17A生成呈剂量依赖性抑制。在IL-23诱导的大鼠皮肤炎症模型中,JNJ-77242113抑制了IL-23诱导的皮肤增厚以及IL-17A、-17F和-22基因的诱导。口服JNJ-77242113给健康志愿者后,其全血在体外受到白细胞介素-23刺激时,γ干扰素的生成受到抑制。因此,JNJ-77242113在临床前模型中提供了选择性、全身性的白细胞介素-23通路抑制作用,并在健康志愿者中转化为药效学活性,这支持了JNJ-77242113作为白细胞介素-23驱动的免疫介导性疾病的选择性口服疗法的潜力。
JNJ-77242113(以前称为PN-235)是一种靶向IL-23R的强效肽,也是首个可口服的选择性IL-23通路调节剂。在最近针对中度至重度银屑病患者进行的一项II期研究中,JNJ-77242113达到了其主要临床疗效终点。本文,文章在生物物理测定、人体免疫细胞、临床前啮齿动物模型和首次人体临床试验中表征了JNJ-77242113的药理学、药效学和安全性。JNJ-77242113在体外和临床前模型中提供了选择性IL-23通路抑制;这种活性在健康人类志愿者中成功转化为药效学活性,表明未来有望成为一种治疗IL-23驱动疾病的口服疗法。

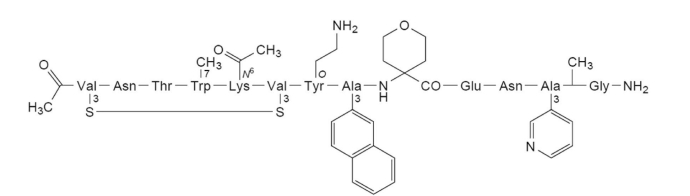
JNJ-77242113是一种化学合成的大环肽,其结构如图所示,分子量为1898.19 g/mol
这些研究数据表明,JNJ-77242113是一种高效肽,可选择性靶向IL-23R并抑制IL-23信号传导。JNJ-77242113与IL-23R的结合亲和力在个位数皮摩尔范围内。体外实验中,JNJ-77242113在皮摩尔至低纳摩尔浓度下,以浓度依赖性方式抑制IL-23通过IL-23R(STAT3磷酸化)诱导的近端信号传导和下游效应物(例如IL-17A、IFNγ)的产生。JNJ-77242113的这些作用对IL-23R具有选择性,对IL-12信号传导无明显影响;虽然IL-23诱导的STAT3磷酸化受到抑制,但IL-12诱导的STAT4磷酸化却没有受到抑制。这与TYK2抑制剂deucravacitinib(BMS-986165)形成对比,后者除了抑制1型IFN信号传导外,还分别抑制IL-12和IL-23依赖的STAT4和STAT3磷酸化。此外,即使在比人类服用1000mg时测得的浓度高1000倍的浓度下,JNJ-77242113也对44个潜在次要靶点表现出极小的活性,这进一步证明JNJ-77242113在药效学活性浓度下对IL-23R具有高度选择性。
JNJ-77242113在肠道炎症大鼠模型中以低剂量口服给药即显示出疗效,尽管全身暴露量相对较低(表S2)。此外,口服JNJ-77242113在大鼠血液和皮肤炎症模型中均表现出药效动力学活性。JNJ-77242113对IL-23R的高亲和力、对IL-23信号传导和下游细胞因子产生的出色抑制作用,加上IL-23R的体内低表达,都可能是其疗效的原因。JNJ-77242113的分布也可能影响其活性;猴子非临床数据显示,JNJ-77242113可自由分布到各种组织(例如结肠、回肠和皮肤),而报道的单克隆抗体的组织分布则有限。在两种大鼠炎症模型中,口服JNJ-77242113均能减轻组织特异性炎症体征(例如结肠重量/长度比或耳部皮肤厚度)。此外,口服JNJ-77242113的大鼠血液和皮肤中IL-23诱导的信号传导受到抑制。值得注意的是,在大鼠皮肤中,口服JNJ-77242113抑制IL-23诱导的IL-17A、IL-17F和IL-22表达的程度与腹膜内注射IL-23单克隆抗体相当。
在体外人类免疫细胞和临床前模型中观察到的JNJ-77242113的活性在健康志愿者身上转化为药效学活性。在这项首次人体研究中,JNJ-77242113在100倍剂量范围内表现出剂量比例的药代动力学特性。即使在超生理水平的IL-23刺激存在的情况下,从接受JNJ-77242113的参与者全血中进行的体外试验也观察到了对IFNγ产生的强效、剂量依赖性抑制。虽然在健康志愿者的血液中观察到了JNJ-77242113的全身药效学活性,但尚不清楚这种活性如何转化为不同疾病状态下的疗效,因为目前获批的用于银屑病和银屑病关节炎的抗IL-23抗体与用于克罗恩病的剂量方案不同。需要对JNJ-77242113进行未来的临床研究,以评估不同患者群体中剂量和暴露依赖性的疗效,从而确定特定疾病的最佳剂量。
在健康志愿者中,单次或多次给药JNJ-77242113均具有良好的耐受性。不良事件均为轻度或中度,未发现与剂量相关的不良事件趋势。除了JNJ-77242113的特性外,针对IL-23的单克隆抗体已证明具有良好的耐受性,这支持了选择性靶向IL-23通路的可行性。最终,仍需更大规模的临床研究来确认JNJ-77242113的安全性;这些研究正在进行中。值得注意的是,在最近一项针对中重度银屑病患者的2期研究中,JNJ-77242113达到了其主要临床疗效终点,并且安全性与安慰剂相似。
总之,这些研究结果支持进一步开发JNJ-77242113作为首个强效且具有选择性的口服疗法,用于治疗由白细胞介素23信号传导失调所驱动的免疫介导性炎症疾病。
参考文献:doi.org/10.1038/s41598-024-67371-5