产品描述
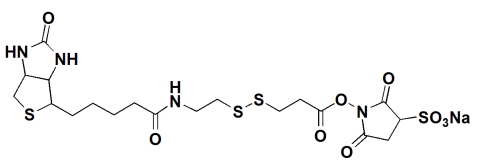
Sulfosuccinimidyl-2-(biotinamido)-ethyl-1,3-dithiopropionate(Sulfo-NHS-SS-Biotin) is a cleavable, water-soluble, amino-reactivebiotinylation reagent. This molecule is cell membrane impermeable due to itssodium sulfonate group. Sulfo-NHS-SS-Biotin has a long chain spacer arm separatingthe biotin group from the amino-reactive sulfo-NHS ester moity. It is possibleto cleave the biotin group from the crosslinked target protein under reducingconditions, such as in the presence of BME, DTT or TCEP.