15种商业试剂盒头对头实测,血液检测正重塑AD早筛版图
在阿尔茨海默病(AD)的诊断历史上,我们可能正站在一个转折点上。曾经昂贵、有创且难以普及的PET扫描和脑脊液检查,正在被一管简单的血液检测所挑战。而其中的核心明星——血浆p-tau217,正被科学家们寄予厚望,被称为解读AD病理的“罗塞塔石碑”。
今天,结合最新的头对头临床数据,我们来聊聊这个可能改变千万人命运的血液指标。
01 为什么是 p-tau217?
在众多阿尔茨海默病的生物标志物中,磷酸化Tau蛋白181(p-tau181)和217(p-tau217)是目前最受关注的两个。
虽然两者都能反映大脑中的神经纤维缠结(Tau病理),但p-tau217 比 p-tau181 更具特异性。研究表明,p-tau217 在区分AD与其他非AD tau蛋白病(如进行性核上性麻痹、皮质基底节变性等)方面表现更优,且与淀粉样蛋白(Aβ)斑块的沉积相关性更强。
简单来说,p-tau217 是大脑发出的、关于AD病理改变最清晰的“求救信号”之一。
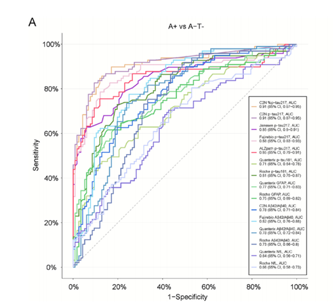
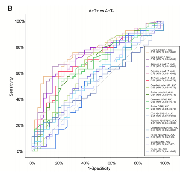
02 性能的“鸿沟”:15种试剂盒的真实较量
虽然p-tau217潜力巨大,但要将其真正应用于临床,我们面临一个现实问题:不同的商业检测试剂盒,性能一样吗?
近期,研究人员利用ADNI(阿尔茨海默病神经影像学计划)和A4两个大型队列,对市面上15种商业化的血浆p-tau217检测试剂盒进行了罕见的“头对头”比较。



-
理想与现实: 并非所有标榜检测p-tau217的产品,都能达到与金标准(如PET或脑脊液)高度一致的准确率。
-
数据的启示: 只有部分经过严格验证的高灵敏度试剂盒(如Simoa等平台的特定试剂盒),能够精准地捕捉到血液中极微量的p-tau217变化,从而准确反映大脑的淀粉样蛋白和Tau分期。
这意味着什么?
对于临床医生和受检者而言,选择经过大规模临床验证的、高性能的检测试剂至关重要。 “能测”和“测得准”之间,隔着的是诊断的准确性与患者的生命质量。
03 血液检测如何重塑AD筛查?
如果解决了“测得准”的问题,p-tau217血液检测将带来一场筛查革命:
-
从“有创”到“无创”: 取代或减少了对昂贵的PET扫描和痛苦的腰椎穿刺(脑脊液检查)的依赖。
-
从“晚期”到“早期”: 血液中的p-tau217水平在AD症状出现前的很长一段时间(临床前阶段)就已经开始升高。这让我们有机会在大脑发生不可逆损伤前进行干预。
-
从“医院”到“社区”: 血液检测成本低、操作便捷,未来有望像体检测血糖一样,在社区医院甚至大规模人群中进行AD风险筛查。
04 给你的建议
虽然血液检测的前景令人兴奋,但在2026年的今天,我们建议:
-
关注验证数据: 如果你或家人考虑进行AD血液筛查,请务必询问检测机构使用的是哪一种试剂盒,是否有ADNI或类似大型队列的验证数据支持。
-
综合评估: 目前,血液检测通常作为初筛手段。如果血液检测结果呈阳性或处于临界值,仍需结合医生的临床评估、影像学检查等进行综合判断。
-
防永远不晚: 即使检测出风险,也不等于被判了“死刑”。现在的医学共识是:通过控制心血管风险、保持认知活跃、健康饮食等生活方式的干预,可以显著延缓疾病的发生。
p-tau217 血液检测的出现,让我们看到了阿尔茨海默病“早发现、早干预”的曙光。虽然不同试剂盒间仍有性能差异需要跨越,但技术的进步从未停止。
未来,也许只需一管血,我们就能为大脑的健康筑起一道防线。
参考来源:
-
Chen Y, Wang Z, Chen H, Cui H, Li S; Alzheimer ’ s Disease Neuroimaging Initiative. Plasma p-tau217 assays effectively predict amyloid status but lack precision for tau staging in Alzheimer's disease. J Neurol. 2026;273(3):183.
-
Mou Y, Sun C, Deng K, Lin F, Yang Z, Wang Y, Deng X, Yang F, Hu X, Jiang Q. Advances in ultrasensitive detection technologies for blood-based biomarkers of Alzheimer's disease. J Mater Chem B. 2026 Apr 17.
